华为、支付宝、中移互联网合作布局 AI+5G 新通话DC生态 12月10日,华为、支付宝、中移互联网正式签署合作协议,共同开启“通话即服务”的智能化通信时代。此次合作标志着三方将深化 AI+5G 新通话DC生态场景的联合创新,推动传统通话向智能化、服务化方向演进。其中,中移互联网将依托中国移动覆盖全国的5G新通话网络和庞大的用户基础,提供稳定可靠的通信保障和产品运营;支付宝将整合其丰富的数字生活
摘要:针对传统雕刻与绘写设备功能单一、便携性差、加工行程受限、依赖固定电源及仅能平面作业等行业痛点,提出一种融合物联网技术的行走式雕刻绘写双功能设备设计方案。设备采用“前激光雕刻 + 后精准绘写”的一体化结构,创新性地以8轮驱动替代传统Y轴框架,实现Y轴理论无限行程;搭配可调节旋转轴适配曲面加工,通过无线通信模块与电池供电系统突破场景限制。设备整机尺寸为 600mm×225mm×250mm ,重量仅 7kg ,加工精度达0.1mm ,激光雕刻续航 8h ,绘写续航 12h ,支持手机APP远程控制与触摸屏本地操作。该设备通过多功能集成与物联网适配设计,填补了便携化、大行程雕刻绘写一体机的市场空白,为广告制作、文创产业、户外作业等领域提供了高效的解决方案,具有巨大的实用价值与市场潜力。
摘要:传统钻井工况识别方法多依赖监测参数的短时变化,常忽视钻井操作的影响,易将不同操作导致的相似钻井参数变化误判为同一工况,导致工况判别错误。为此,文中提出了一种基于物联网与钻井操作序列的复杂钻井工况智能识别方法。首先,利用物联网技术实时获取多源钻井数据,并对监测参数设定合理阈值以确定钻具与泥浆泵的多种运行状态;然后,依据这些状态的特定组合判定对应的钻井操作,形成钻井操作序列;最后,以钻井操作序列及泵压、钻头位置、大钩负荷、大钩高度、井深、转速、钻压、扭矩作为输入,构建类别型特征梯度提升(CatBoost)模型,对起钻、下钻、正划眼、倒划眼、旋转钻进、滑动钻进和活动钻具7种复杂工况进行识别。利用从某油田获取的7449个样本开展钻井工况识别实验,结果表明,该方法对复杂钻井工况的识别准确率达 97.32% =与未引入钻井操作的CatBoost模型相比,准确率提升 1.62% 。
摘要:随着空气污染的监测与防治成为国家关注的焦点,无人机在环保领域得到了更广泛的推广和应用。文中设计了一款基于OneNET平台的无人机环境监测系统,选用STM32F103C8T6单片机作为主控器,搭载DHT11、MQ-2、GP2Y1014AU三种传感器,分别对温湿度,烟雾浓度和 PM2.5 浓度进行实时监测。系统选用HG-307R4G模块,通过MQTT协议连接OneNET物联网平台实现数据的远程传输。设计中充分考虑了硬件集成、电源管理、接口定义和稳定性等因素,确保系统稳定运行。该多传感器环境监测无人机的应用拓展了监测范围,结合OneNET物联网云平台,用户可通过手机或PC远程监测生态环境,更精准地掌握环境状况。
摘要:针对到达时间差(TDOA)定位中非线性优化导致的误差较大问题,设计了一种融合多策略优化机制的改进白鲸算法,用于解决TDOA定位问题。首先,引入SPM混沌映射构建初始化种群以增加种群的多样性;其次,利用非线性收敛因子和切线飞行策略,有效探索搜索空间,进一步提升算法寻优的准确性,平衡局部和全局搜索能力;最后,采用动态适应距离平衡(DFDB)策略,使算法更好地适应复杂环境,跳出局部最优,改善收敛精确性。将改进算法与其他五种算法在八个经典基准函数中进行仿真实验,实验结果表明,改进算法具有良好的寻优能力和收敛精度。为验证改进算法的实用性,将其应用于TDOA定位中,结果表明,改进算法、Chan算法、Taylor算法、BWO算法的平均定位误差分别为 16% 、 72% , 66% 和 25% ,说明改进算法具有更高的定位精度,具有一定实用性。
摘要:全球航空事故统计分析表明,飞机起降阶段是事故高发期,其中低空风切变是威胁低空飞行安全的关键环境因素。传统风切变检测方法受限于气象雷达的检测能力,普遍存在识别准确率低、计算延迟高等问题。针对上述问题,本研究提出了一种基于激光雷达点云的风切变检测算法,设计并实现了一套点云风切变识别系统。该系统集成了风向基础数据管理、风切变区域智能识别以及基于飞机起降数据的低空风切变位置可视化等功能模块。通过部署应用,该系统可有效辅助西部机场进行低空风切变的实时监测与管理,为飞机起降提供动态风切变预警信息,显著提升航班运行安全水平,降低低空风切变对飞行安全的潜在威胁。
摘要:浅地层剖面仪通过声波探测海底管道并生成浅剖图像,但传统人工判读效率低,现有算法在复杂背景下特征提取能力有限,难以准确判断管道掩埋状态。针对这些问题,文中提出了一种基于SK-DINO模型的检测方法,创新地结合选择性内核网络(SKNet)和空间注意力模块(SAM),提出SK-SAM融合注意力机制,增强了目标特征提取能力。在此基础上,采用高斯误差线性单元激活函数提升模型的非线性表达能力,降低过拟合风险。实验结果表明,改进算法的mAP @0.5 、AP@0.75:0.95和A R(Q0.5;0.95 分别达到0.8995、0.3862和0.4184,显著提高了海底管道掩埋状态的识别准确率。
摘要:传统农业多依赖经验进行培植,易导致土壤养分不均或缺乏针对性,随着农业农庄化进程加速和物联网技术的广泛应用,推进农业数字化和科学化已刻不容缓。为此,本研究设计了一款基于LoRa的土壤摘情数字化监测系统,利用LoRa低功耗、广域覆盖、低成本、抗干扰能力强和可自由组网的特点,将采集的土壤摘情信息通过LoRa网络上传至LoRa网关,LoRa网关通过Cat.1将数据实时上传至云端服务器,实现土壤熵情的实时监测,同时根据土壤熵情数据为土壤改艮提供针对性指导方案。此外,系统仅LoRa网关需要运营商卡的支持,网关与终端设备通过LoRa网络通信,大幅降低了运营成本。当通信环境较差时,系统可以通过中继LoRa网关的方式维持与区域终端设备的通信。该系统为智慧农业的规模化落地提供技术支撑,助力农业数字化转型与可持续发展。
摘要:本研究聚焦于大豆病害防治难题,构建了一套基于视觉系统和阿里云的大豆病害智能防治系统,旨在提升大豆产量与质量。该系统以STM32F407VET6单片机和视觉系统为核心,具备休眠与工作两种模式。休眠模式下系统停止工作,以此实现节能的目的。系统处于工作模式时,视觉系统调用在MaixHub模型训练平台上训练的病害分辨模型,对大豆叶片进行检测,检测结果会依次经单片机传输至阿里云平台,若检测到病害,云平台便通过短信的形式向用户发出报警。此外,系统还配备有温湿度传感器,能够实时测量环境中的温湿度数据,并将数据通过阿里云平台传输给用户。用户可通过阿里云平台向与喷药模块相连的单片机发送指令,启动喷药装置以治理病害。在实际应用中,该系统成功实现了对大豆病害的准确检测与及时报警,能够稳定传输环境温湿度数据,并且实现了便捷的远程喷药操作,有效提升了大豆病害防治的智能化水平,降低了人力成本,提高了防治效率。
摘要:随着通信技术、单片机技术的迅猛发展,利用GSM和单片机系统进行车辆行驶实时监测已成为发展趋势。文中提出了一种基于GSM的家用汽车安全行驶监测报警电路设计方案,以STC89C51搭配最小系统作为主控系统,结合MQ-3酒精传感器、HC-SR04超声波传感器、3144霍尔传感器实现对驾驶室空气酒精浓度、行驶速度和车距的监测;通过GSM通信模块实现报警信号的远程传输,系统自动将报警信号转换为短消息文本发送至预设号码,通知相关人员采取应对措施,以确保行车安全。最后,以仿真的形式对整套系统进行实验测试,结果表明,该系统能够实现车内酒精浓度、车距和车速的信号采集与传输,保障行车安全。
摘要:针对冬季降雪引发的道路交通阻塞、出行安全隐患及传统除雪方式存在的消息滞后、处理低效等问题,文中设计了一款智能雪情监测与预警系统。该系统由微处理器与多种传感器组成,能够精确检测室外温度、积雪厚度、飘雪速度及降雪量,并利用WiFi模块将采集到的数据和图像传输至云端。系统借助深度学习技术对采集到的雪情数据进行分析处理,可实现雪情实时监测、未来2h雪灾风险预测,超阈值时自动预警,辅助相关部门及时除雪,缓解积雪引发的各类问题。
摘要:针对传统沉降监测系统成本高、实时性差等问题,提出了一种高精度、实时化的分布式远程监测系统。该系统以STM32系列单片机为核心,子节点集成了MPU6050倾角传感器与VL6180激光测距模块以实现数据采集,并通过ZigBee模块将数据上传至主节点。主节点通过LCD屏实现数据显示,同时通过串口将数据转发至上位机进行解析。系统采用双层LSTM模型对沉降趋势进行预测,并利用DepSeek大模型对采集到的数据进行评估,评估结果通过HTTPS同步至部署有Nginx与Flask框架的云服务器,再由云端推送至Android Unity3D移动端完成交互。系统测试结果表明,其测量精度可达 ±2mm ,ZigBee视距通信超 50m ,LSTM预测平均绝对误差小于 3% ,整体运行稳定可靠,满足设计需求,为建筑沉降监测提供了实用方案。
摘要:无线传感器在化工仪器设备监控中具有重要作用,能够实时监控并收集仪器设备运行参数与环境数据,并将这些数据传输至数字化控制系统(DCS),保障化工生产过程的稳定性和安全性。虚拟技术在化工领域的应用日益广泛,通过构建高度逼真的数字化模型,模拟真实的化工生产环境和过程,成为推动化工行业创新与发展的重要力量。本研究旨在将无线传感器技术与虚拟技术相结合,基于Unity3D平台设计并实现一种化工环境下的漫游监控系统。该系统可帮助操作人员熟悉工艺环境和设备操作,还可用于化工设备的远程监控与维护,进一步提升化工生产的智能化水平和效率。
摘要:基于节点位置信息的水下低时延路由协议(LDRP)根据转发节点通信半径及矢量偏移角确定转发区域,计算不同转发区域内候选节点的转发概率,根据节点剩余能量及疏密程度计算渴望因子,从而降低数据传输时延。文中利用Aqua-Sim仿真器对LDRP协议进行仿真,分析了网络数据包交付率、平均时延以及能耗随节点数量和模拟时间的变化规律。结果表明,LDRP协议与VBF、HH-VBF和AE-VBF协议相比,其数据包交付率和数据包传输平均时延在节点数量和模拟时间的变化范围内均优于其他三种协议。但是由于LDRP协议需要逐跳更新转发区域并计算转发概率等,导致网络能耗有所增加。
摘要:随着远程医疗系统的广泛应用,确保敏感生理数据安全、可靠传输,成为通信系统设计的关键。而传统加密方案面临量子计算威胁,且存在误码率居高不下的性能瓶颈。针对上述问题,文中研究设计了一种基于量子噪声流加密的远程医疗通信系统,通过动态量子密钥与北斗短报文协议的深度融合,构建分层安全架构。系统采用微型化量子随机数发生器与高集成北斗通信模组,实现终端设备的轻量化设计;结合智能分片传输与多级容错机制,在保障信息论安全性的同时,优化资源受限环境下的实时性与可靠性。实验结果表明,该系统显著提升了复杂信道条件下的数据传输效能,并验证了远程医疗场景下数据通信的安全性。
摘要:针对时延抖动导致的网络拥塞、海量数据传输过程中端到端丢包率升高、吞吐量下降以及传输效率不稳定等问题,提出了一种时延抖动下物联网通信链路海量数据拥塞控制方法。在概述瓶颈带宽和往返时延(BBR)拥塞控制算法框架的基础上,通过双流模型(数据流A、B)分析BBR算法的收敛过程,评估时延抖动对拥塞窗口计算与带宽预估的影响,进而设计改进的BBR拥塞控制算法:利用往返时延(RTT)标准差评估时延抖动程度,以RTT均值替换最小RTT作为延迟基准,动态调整网络带宽延迟积预估策略,实现物联网通信链路海量数据拥塞控制。实验结果表明,该方法可实现物联网海量数据稳定传输,平均传输速率稳定在 3.2Mb/s 左右;并发连接数由80增至120时,丢包率由原来的 0.3% 增加到 0.45% ,网络吞吐量达到 90Mb/s 。
摘要:永磁同步多电机系统在智能物联网中应用广泛,传统控制系统结构繁杂,代码设计、调试过程复杂。鉴于此,文中提出了一种基于模型的多电机控制系统设计方法。基于该方法逐步构建多电机系统的数学模型、仿真模型、代码生成模型;基于代码生成技术,将多电机模型直接生成代码并下载到控制器中;最后,设计基于模型的上位机系统,实现控制系统在线调试。所提方法无需程序设计,大幅简化了控制系统的设计与调试难度,降低了编程缺陷发生率。另外,所提方法结合高性能微控制器与宽禁带半导体技术,实现了多电机驱动系统的集中控制和整体编程,降低了开发复杂度。所提方法在机器人、自动导向车、无人机领域具有较好的应用前景。
摘要:居家养老是目前主流的养老方式,当下对其的监控更多是针对行为状态方面,多半采用摄像头辅助人工实时查看进行判断,较少涉及对环境状态和老人生理状态的监测、分析和预警。为此,文中基于物联网技术,选用Keil5和LabVIEW作为开发环境,设计并开发居家养老智能监控系统。使用STM32F103C8T6作为硬件控制核心,DHT11温湿度传感器感知周围环境的温度和湿度、脉搏心率传感器监测老人心率、ADXL345三轴加速度传感器分析老人日常活动模式并通过阈值判断识别跌倒行为、GY-NEO-6MV2GPS定位传感器追踪老人位置信息,并在紧急情况下发出蜂鸣警报。此外,基于上述感知信息,调用DeepSeek大模型分析老人睡眠质量,回答医疗健康科普知识,实现AI助手功能。系统旨在提高居家养老生活质量,为老人及其家属提供安全便捷的保障,让老人居家安心、家人放心。
摘要:受传感器数据采集精度和环境适应性的影响,智慧教室电器信息采集过程中存在数据不准确、实时性不佳等问题,导致节能集中控制效果不理想。为此,提出一种基于物联网技术的智慧教室电器节能集中控制方法。结合物联网技术,构建物联网集中控制平台,并在该平台中部署温度、光照传感器,实现教室室内信息的精准、实时收集;将人脸识别技术与电器集中联动相结合,调控教室内的照明、空调等电器设备;采用模糊-BP神经网络算法,实现智慧教室电器设备的节能决策设计,完成智慧教室电器的节能集中控制。实验结果表明,采用所提方法可有效实现电器的节能集中控制,显著提高了节能成效与管理效率,应用效果较好。
摘要:随着物联网技术的飞速发展,智能家居控制系统逐渐成为现代生活的重要组成部分。为此,设计了一种基于物联网的智能家居控制系统,系统选用STM32F103C8T6单片机作为核心控制器,集成了温湿度、气压、光照、一氧化碳、烟雾和空气质量等多种环境参数的实时检测和报警提示功能。系统支持自动控制和语音控制模式,并可通过WiFi连接到机智云平台,实现远程监测与控制。实验结果表明,该系统功能稳定、响应精准、控制模式多样、可扩展性强,可为智能家居控制系统问题的解决提供参考方案。
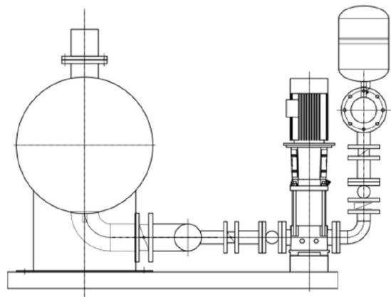
摘要:随着城市化进程的加快,二次供水系统的稳定性和可靠性成为城市供水的重要保障。针对供水系统中因螺栓松动及橡胶软接头腐蚀易导致漏水故障的问题,提出了一种基于生成对抗网络(GAN)和长短期记忆网络(LSTM)相结合的供水系统故障诊断方法。首先,利用GAN生成多样化的故障数据,从而增强训练样本的多样性。然后,利用LSTM能够有效处理时间序列数据的特性,捕捉系统运行过程中的长期依赖关系,准确识别供水系统中的潜在故障。最后,基于所提方法对罐式无负压叠压供水系统进行故障诊断。实验结果表明,GAN-LSTM模型在识别故障时,能够显著提高故障诊断的准确率,相比传统方法具有更高的灵敏度和鲁棒性。
摘要:针对水文仪器设备生产管理中数据信息不能实时掌控、市场客户反馈不能及时响应以及品牌辨识度不高易混淆等问题,开展防伪溯源信息平台相关技术研究。利用分布式框架将功能模块化,实现功能接口分类配置,降低各个模块之间的耦合性;采用物联网技术建立云平台,借鉴微信的加密方式提高信息传输的安全性;采用微信小程序这一新型的应用程序形态,实现跨系统轻量级系统应用。基于此架构开发的防伪溯源平台有助于客户了解产品信息,辨别产品真伪,便于企业减轻管理人员的工作量,提高市场品牌效应和竞争力。
摘要:文中开发了一款基于STM32F407ZGT6主控芯片的调味品原料识别分拣硬件系统。系统采用OV7670摄像头模块进行图像采集,结合机械控制模块与WiFi模块实现数据传输与控制;采用YOLOv5模型进行食材识别,采集原材料图像数据集,并在高速计算机上训练模型,将训练好的权重文件和模型下载至STM32F407ZGT6连接的存储芯片中;通过OV7670实时捕捉图像,经过量化标注后输入YOLOv5模型进行分类,根据识别结果控制机械臂将调味品原料分拣至对应存储篮。系统成功实现了对花椒、八角和桂皮等香料原材料的高效、准确识别与分拣,实现了调味品原料识别分拣的智能化运作。
摘要:在建筑绿色节能领域,建筑物暖通空调(HVAC)系统能耗在建筑总能耗中占据较大比例,其中直膨式空调因具有良好的适用性,被广泛应用于中小型家庭的空调系统中。为了在保障用户舒适度的同时提升能效,制定针对直膨式空调(DXA/C)系统的节能控制策略至关重要。针对当前直膨式空调控制算法中普遍存在的温湿度耦合效应较强、控制精度有限等问题,提出了一种三项非线性模型预测控制(TNMPC)算法。相较于传统的两项模型预测控制算法(包含输出误差和输入变化成本),TNMPC算法引入了状态增量成本,以软约束的方式限制系统预测输出的波动,有效避免了硬约束条件下优化不可行的情况。实验结果显示,与传统模型预测控制算法相比,TNMPC算法在控制精度上提升了 85.98% ,能耗降低了 0.066% ,证明了其在节能方面的显著优势。
摘要:当下物联网技术快速发展,智能实验室系统在实验室中占据重要地位。文中开发了一款基于GD32的太阳能智能实验室控制系统。该系统以国产芯片GD32F427ZKT6微控制器为核心,利用太阳能供电,并应用迪文串口屏、ESP-01S、FPM383C、SU-03T等传感器,依据实时反馈的数据自动更改设备的运行状态。该系统拥有多种控制方式(语音控制、APP控制和触摸屏交互)。测试结果表明:系统整体反应迅速,设备运行总功率在 10W 以内。该系统采用纯国产芯片进行开发,为智能实验室控制系统的发展提供可行解决方案,给智能实验室未来的发展提供理论支持和技术参考。
摘要:预防“酒后驾车和疲劳驾驶”已成为社会焦点议题,文中设计并实现了一套预防“酒后驾车和疲劳驾驶”的智能车载监测系统。该系统以STM32F103C8T6单片机为核心、物联网云平台为数据可视化载体,并融合多种先进传感器技术,通过24GHzLD2410S低功耗人体存在检测雷达对座舱是否有人进行监测、利用MQ-3酒精浓度传感器和TIM高精度座舱计时器对驾驶员进行全程监测,实时采集记录数据,通过物联网云平台实现数据可视化管理与分析。实验表明,与现有方法相比,本系统稳定性好、数据采集精度高、具有数据可视化功能,可以实时监测驾驶员酒精浓度、驾驶时长等数据并精准决策,当检测到酒精浓度超标或连续驾驶时间过长时,系统能及时发出灯光和语音警示,从而有效规避危险驾驶,减少交通事故发生,为助力实现更安全的道路环境提供技术保障。
摘要:在电子制造领域,为有效应对市场需求动态变化与技术不断更新的挑战,提升产业竞争力并推动数字经济建设,行业内将研究重点聚焦于微电子智能制造技术与创新。通过对该技术应用优势的深入剖析,对核心技术(如集成电路制造技术、微电子组装技术、微电子封装技术等)的深入探讨以及对创新路径的积极探索,发现微电子智能制造技术凭借其自动化、信息化、智能化特点,在实际生产中可显著缩短生产周期、提高材料利用率、降低成本、增强产品质量与稳定性,进而有效提升企业的经济效益与社会效益,并带动相关产业链实现升级发展。研究表明,持续推进自动化、智能化进程及技术融合创新,能够有力推动微电子制造朝着高效、智能、绿色的方向迈进,为打造数智化工厂、实现我国工业创新改革以及数字经济加速发展提供关键支撑。
摘要:机器人路径规划是机器人技术中的一个关键问题,它涉及到在给定的环境中为机器人从起点到目标点寻找一条最优或可行的路径。为了有效提高机器人的路径规划能力,研究了基于冠豪猪优化算法(CPO)的机器人二维路径规划。该算法通过模拟冠豪猪的四种防御策略实现优化目标的能力。在机器人路径规划中,利用CPO算法优化路径搜索过程,通过模拟实验验证了其在复杂环境下的有效性,同时为机器人二维路径规划提供了一种高效的方法。
摘要:针对现有门锁系统操作不便、安全性低的问题,基于物联网技术设计了一种智能门锁控制系统。该系统以STM32为核心控制器,通过WiFi模块实现对电子锁的远程控制和监控,利用数据流量和手机触屏虚拟按钮代替现场操作和实体钥匙。该智能门锁控制系统解决了传统机械锁功能单一、安全性不足的问题,弥补了传统机械锁缺乏兼顾近端和远程无线开锁功能的缺陷,同时提升了使用的安全性和便捷性。
摘要:在大规模机器类通信中,机器设备和基站之间的信道衰落会导致活跃用户检测和频率偏移估计性能下降。针对此问题,文中提出了一种基于压缩感知的结构化矢量近似消息传递联合估计算法。首先,采用网格法扩展信道矩阵和导频矩阵,将联合估计问题公式化为稀疏信号的恢复问题,利用压缩感知领域的近似消息传递算法实现稀疏信号的重构;其次,借助扩展后信道矩阵的结构化稀疏性对信道的功率谱密度函数进行重新描述,并基于贝叶斯原理和最小均方误差准则设计非线性矢量降噪器,以消除信道衰落对联合估计带来的影响。仿真结果表明,所提算法相较于传统算法能够实现更高精度的活跃用户检测和频偏估计。
摘要:针对移动机器人在复杂环境下的路径规划问题,提出一种模拟退火与A\*算法协同优化模型。融合模拟退火算法的全局优化能力与 A* 算法的局部搜索优势,构建双阶段混合策略:首先利用 A* 算法的启发式估价函数生成初始可行路径,确保快速收敛性;随后引入模拟退火算法的Metropolis准则概率接受机制,对路径进行扰动优化,有效规避局部最优陷阱。创新性地设计了基于路径平滑度的自适应邻域搜索策略,并建立多目标代价函数以平衡路径长度与计算复杂度。实验结果表明,融合算法在路径长度、搜索效率及稳定性等方面显著优于传统单一A\*算法,能够有效平衡全局寻优路径能力与计算的复杂度。
摘要:传统家居设施已难以满足人们对智能化生活方式的巨大需求,运用物联网技术赋能传统家居设施来构建智能家居系统是当前人工智能技术应用领域的重要研究方向。文中以STM32单片机为控制核心,融合衣物智能化管理和贵重物品安防技术,设计了一款视智衣柜。该衣柜通过 CO2 、甲醛和温湿度传感器模块实时监测环境,基于阿里云平台,采用人体红外传感器、语音播报器、步进电机以及天气信息平台,实现换季衣物位置升降和穿衣推荐功能。基于贵重物品安防技术采用指纹锁和密码锁构建双锁系统,结合GSM模块的短信发送功能和OpenMV的图传功能提高安全性。通过制作视智衣柜原型和系统测试验证了设计功能的可行性和可靠性。
摘要:为了培养农林院校物联网专业复合型人才,自主研制了基于物联网的农业大棚智慧监控系统实验教学平台,该平台采用了网页和手机APP双终端模式,实现了实时监测和远程控制大棚环境的功能。系统由传感/执行节点、智能控制中心和远程监控终端构成,传感/执行节点负责采集大棚内环境参数和控制执行器;智能控制中心负责接收传感/执行节点的传感数据并进行数据的处理及上传;远程监控终端为用户提供实时监测和远程控制界面。该实验平台将传感器、物联网、智能控制、数据库等技术与智慧农业有机结合,为培养创新型、复合型人才提供了一个开放型、可升级、可扩展的综合实践平台,强化了学生综合运用知识的能力,为物联网相关专业实验课程教学改革提供了有益的探索,同时也为农业物联网方向的科学研究提供了高水平的科研平台。
摘要:在边疆地区“新工科”建设与数字经济发展双重背景下,针对信息技术类专升本教育中“衔接不畅、目标模糊、实践脱节、理念不新”等问题,以数据科学与大数据技术专业为例,开展了基于CDIO-OBE理念的新工科背景下信息技术类专业专升本人才培养模式改革的研究。本研究以CDIO-OBE理念构建“需求定义-能力分解-项目承载-持续改进”的立体化培养体系。通过对百色市近50家信息技术企业的深度调研,明确技术复合化、实践工程化、地域适配性的人才需求特征,从培养目标重构、课程体系优化、教学方法创新等维度展开改革实践,实现信息技术类专升本学生从“知识输入-能力产出-持续改进”的闭环提升,形成具有边疆特色的信息技术类专业专升本人才培养模式,以期为边疆地区信息技术类应用型人才培养提供可复制的实践范式。
摘要:针对智慧农业发展背景下物联网应用技术专业人才培养中存在的课程体系与岗位适配性差、实践教学不足、师资实践能力弱、竞赛与教学融合不紧密、证书与教学衔接不畅等问题,优化人才培养质量,提升学生综合素质与就业竞争力,适配智慧农业行业发展需求。构建“三能递进、双融双师、四链连接”人才培养模式及“三融合、四递进、多平台”的课程体系,突出能力递进、产教融合、多学科交叉等核心要点,并在苏州农业职业技术学院开展实践探索。通过该人才培养模式与课程体系的实践应用,有效解决了以往人才培养体系中的问题,显著提升了学生的综合素质与就业竞争力,达成了专业教学与智慧农业岗位需求的精准对接。物联网应用技术专业“三能递进、双融双师、四链连接”人才培养模式及“三融合、四递进、多平台”课程体系,契合智慧农业发展对专业人才的培养要求,改革成效显著,具备推广应用价值。
摘要:随着人工智能与物联网技术的快速发展,程序设计课程的教学目标逐渐从传统的知识传授向能力培养转型。在分析物联网工程专业“C语言程序设计”课程教学现状的基础上,结合物联网工程专业的实际需求,以逆向设计UbD理论为核心,采用“目标导向、评估先行、任务驱动”的教学设计框架,针对“C语言程序设计”课程进行教学设计,探索如何提高学生的课程学习积极性,培养学生的工程思维与创新能力。研究结果表明,UbD模式在程序设计课程中具有较高的应用价值,能够有效提升学生的综合能力和职业适应性。
摘要:对于理论性强、抽象度高的课程,学生在学习过程中容易出现理论知识掌握不够深入、理论和实践结合不够紧密等问题,从而打击学习的主动性和积极性。文中以“计算机网络”课程为例,通过考虑课程的教学内容特点、本课程/学生前期已学其他课程的相关知识点、学生感兴趣的实际网络应用等因素,采用基于问题导向的案例式教学法,从网络协议设计的背景、网络协议的工作机制、网络协议设计的不足三方面层层递进设计案例。教学反馈表明,本教学方法不仅有效激发了学生的学习兴趣,而且还培养了学生的辩证思考能力。
摘要:在数字化转型推动工业技术选代的背景下,职业教育PLC课程实训资源面临设备更新滞后、场景还原不足、成本承载困难、跨学科整合薄弱四大挑战,因缺乏与智能传感等跨学科内容的融合,导致实训教学与行业需求脱节。鉴于此,以职业院校PLC课程为研究对象,探索实训资源重构。首先以广东三向SX-815Q机电一体化综合实训设备为核心,新增ModBus-RTU、Profinet等多协议通信模块与智能设备,完成“硬件升级+功能拓展”的一次重构,填补数字化技术教学空白;然后针对硬件模式的高成本、低人均操作率痛点,依托西门子NX与S7-PLCSIMAdvanced软件协同,构建“实物实训 + 虚拟操作”双轨联动模式,实现二次重构。两次重构解决了实训资源与行业技术的适配问题,形成“教学实践-资源传承-库建设”的良性循环,为PLC课程实训资源数字化升级提供了可借鉴路径。